All About Worksheets

See more Printable Worksheet

Nail Test Questions And Answers Nails: Inspection And Palpat

Nail findings abnormal Nail technician manicuring & pedicuring exam question with answer (part Free nail technician practice test questions

Nail Diseases, Disorders, & Conditions Quiz by Cosmetology School

Nail Diseases, Disorders, & Conditions Quiz by Cosmetology School

Diagnostic test in nail care 9: nail anatomy, disorders, and National nail technology theory practice test (updated 2023) Nails: inspection and palpation – introduction to health assessment for

Nail diseases, disorders, & conditions quiz by cosmetology school

Answering your nail & mani questions!Free national nail technology theory practice test Summative test in tle nailcare: multiple choice questions on nailTest questions grade 9 nail care.

37 nail quizzes online, trivia, questions & answersNail assessment for nursing (normal and abnormal findings) Cosmetology proprofsNail technician practice test 2023 updated questions and answers.

Nail Technician Practice Test #7 - YouTube

Most-asked nail questions, answered – nailberry london

Student cheats on her exams by hiding the answers in her nailsAnswers exams nail cheats hiding nails student her july posted Nail shape personality test: your nails reveals your true personalityNails quiz: questions and answers.

Florida permit practice test 50 questions in creoleNail technician theory practice test Nail tech certification nc onlineNail quizzes trivia quiz proprofs questions answers.

Nail Technician Practice Test #6 - YouTube

Question mark nails

Nail technician practice test #5Nail salon Nail technician practice test #6Nail grooming test.

Nail salon questionnaireNail soup questions & answers for quizzes and worksheets Nail test questions and answers!Nail quizzes trivia test quiz proprofs questions answers.

Nail Technician Theory Practice Test - PSI Online Store

38 nail quizzes online, trivia, questions & answers

Nail test 9/9/2011Tle 9 nail care test questionnaire 1st quarter First summative nail careNail test quiz proprofs.

Skin hair nails questionsNail technician practice test #7 Unraveling the mysteries of nail tests in metal detecting: a.

Nail Diseases, Disorders, & Conditions Quiz by Cosmetology School Nail Assessment for Nursing (Normal and Abnormal Findings) - YouTube

Nail Assessment for Nursing (Normal and Abnormal Findings) - YouTube

Nail Salon Questionnaire

Nail Salon Questionnaire

Test Questions GRADE 9 NAIL CARE | PDF | Nail (Anatomy) | Medical

Test Questions GRADE 9 NAIL CARE | PDF | Nail (Anatomy) | Medical

Free Nail Technician Practice Test Questions - Prep for the Nail

Free Nail Technician Practice Test Questions - Prep for the Nail

Question Mark Nails | Nails, Nail art, Liz

Question Mark Nails | Nails, Nail art, Liz

TLE 9 nail care test questionnaire 1st quarter - Republic of the

TLE 9 nail care test questionnaire 1st quarter - Republic of the

Diagnostic Test in Nail Care 9: Nail Anatomy, Disorders, and | Course Hero

Diagnostic Test in Nail Care 9: Nail Anatomy, Disorders, and | Course Hero

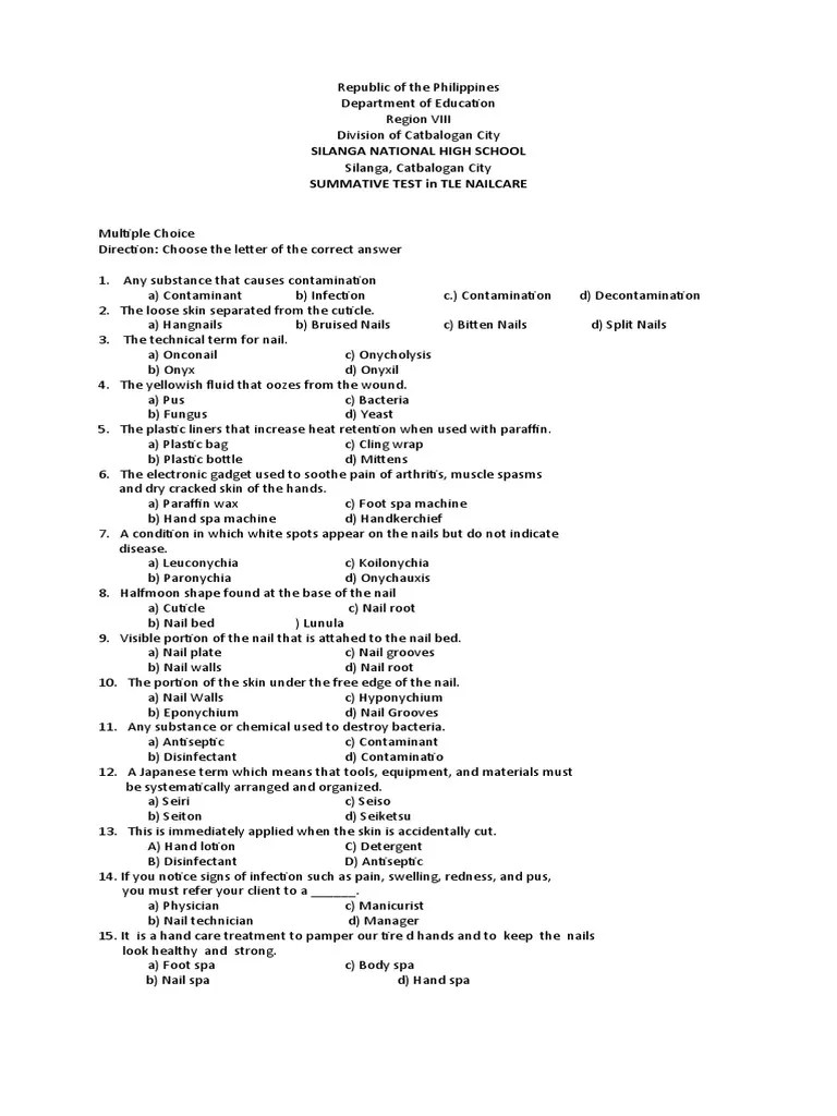
Summative Test in TLE Nailcare: Multiple Choice Questions on Nail

Summative Test in TLE Nailcare: Multiple Choice Questions on Nail

← Nail Technician Exam Questions And Answers Nail Technician E Name A Book You Go To For Answers Can You Name The Book? →

YOU MIGHT ALSO LIKE: